Воспользуйтесь ОнлайнДиагностикой для профессионалов
Закажите ОнлайнКонсультацию
Двигатель внутреннего сгорания
|
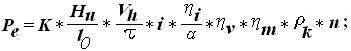
Выявить резервы форсирования двигателя можно с привлечением формулы для расчета эффективной мощности, кВт:
где
* * * * * |
|
Рабочий объем цилиндра равен
* * * * * |
|
Мощность двигателя с наддувом в значительной мере пропорциональна давлению наддува. Это позволяет ориентировочно оценить значение мощности, получаемое при наддуве двигателя, по формуле: Pek=Pe*(pka/p0),
где,
* * * * * |
|
Формула геометрической степени сжатия,
* * * * * |
|
Определить значение эффективной степени сжатия приближенно можно по формуле
Важным фактором, позволяющим повысить степень сжатия без риска возникновения детонационного сгорания, является охлаждение наддувочного воздуха.
* * * * * |
|
Из теории ДВС известно, что мощность двигателя (
где
Анализ этого выражения показывает, что мощность двигателя можно увеличить, увеличивая число оборотов
i - при сохранении размеров цилиндра, или увеличивая рабочий объем цилиндра * * * * * |
|
Количество свежего воздуха, всасываемого двигателя с наддувом, равно
,где n - в 1/с. Количество воздуха, идущего на продувку, определяется с использованием характеристик проходных сечений впускных и выпускных органов. Если температура
* * * * * |
|
Количество расхода масла вашего двигателя можно подсчитать следующим способом:
Залитое количество масла (см³) - Слитое количество масла (г) : 0,86 г/см³
* * * * * |
|
Полная сила - F = Fw-D-R, где D-сила аэродинамического сопротивления, R-сила сопротивления качению, Fw-тяговое усилие
* * * * * |
|
Сила аеродинамического сопротивления D=0,5 Cx p(Po)SV², где Cx-коэфф.динамического сопротивления, p(Po)-Плотность воздуха, S-площадь лобового сечения
* * * * * |
|
Сила сопротивления качению R = KrV = 1,03V, где Kr-коэфф.трения качения колеса
* * * * * |
|
Тяговое усилие Fw = TeGn / (d/2), где Те-крутящий момент двигателя, G-главная пара, Gn-произведение передаточных чисел главной пары и включенной Передачи, d-диаметр колеса
* * * * * |
|
Скорость вращения колеса W = 60V/πd, где V-скорость движения авто, d-диаметр колеса
* * * * * |
|
Скорость вращения вала двигателя E = WGn, где W-скорость вращения колеса, Gn-произведение передаточных чисел главной пары и вкл. передачи
* * * * * |
Вычисление Октанового числа смеси:
(
ОЧПрисадки × %СодержаниеПрисадки)+(ОЧБазы × %содержаниебазы) 100
Пример: Имеем 7 литров 92-го бензина с АЗС, и 3 литра 113 бензина купленного не на АЗС. Каково ОЧ смеси (математ.)?
* * * * * |
|
Объем, образующийся дополнительно в цилиндре при перемещении поршня от ВМТ к НМТ называется рабочим объемом цилиндра. Он обозначается VR и равен площади цилиндра умноженной на ход поршня.
* * * * * |
|
Полным объемом цилиндра является объем над поршнем, когда он расположен в НМТ. Он обозначается Va и равен сумме объемов камеры сжатия и рабочего. Va=Vc+Vr
* * * * * |
|
Степень сжатия Е называют отношение полного объема цилиндра к объему камеры сжатия. (сгорания)
Е=
__Va____
Степень сжатия показывает во сколько раз изменяется объем цилиндра при перемещении поршня от НМТ к ВМТ. Она оказывает большое значение на экономичность работы и мощность двигателя. * * * * * |
|
Геометрическая степень сжатия вычисляется по следущей формуле E=(Vh+Vc)/Vc, где Vh это рабочий объем цилиндра, а Vc это объем камеры сгорания, определяемый количеством масла, залитого в свечное отверстие.
* * * * * |
|
Существуют различные системы измерения мощности двигателя, не всегда сравнимые напрямую, хотя есть четкие взаимосвязи между отдельными единицами измерения.
Лошадиная сила (л.с.) 1 hp = 1,0139 л.с. Лошадиная сила США (hp) 1 л.с. = 0,9862 hp Давно и прочно вошел в обиход киловатт, но мощность определяют по разным стандартам и испытательным инструкциям по испытаниям. Есть несколько контор, разработавших свои методы измерения. От отдельных методов уже отказались. DIN Германский институт стандартизации ECE Европейская экономическая комиссия ООН, ЕЭК ООН EG Европейское экономическое сообщество, EЭC ISO Международная организация по стандартизации, ИСО JIS Японский промышленный стандарт SAE Общество инженеров автомобильной промышленности (США) В теории мощность двигателя (Р) рассчитывают из крутящего момента двигателя (М д) и частоты вращения двигателя (n): P = М д· n Крутящий момент двигателя (М д) выражается через силу (F), которая действует на плечо рычага (l): P= F·l·n |
Предлагаем услуги:


Где Вы предпочитаете обслуживать двигатель?
На специализированной СТО
На фирменной СТО
По рекомендации
Где дешевле
Несложные работы — сам
Обслуживаю полностью сам
- 1
- 2
Здравствуйте,
Valeo 835013 подойдёт на мой w210 2.7cdi 612om Mercedes
Я ищу одномасовый моховик но информации мало может кто-то подскажет?
Завел машину , работает 15 сек где-то все норм , потом идет жесткий стук мотора как в видео , и загарается чек , потом может стук исчезнуть на 20 сек , потом снова начинает стучить 7сек , и мотор потом глохнет , че это может быть ? Мотору хана ?
Подскажите пожалуйста! Когда в баке остается примерно до 10 литров солярки машинка становиться очень резвой, педаль газа очень чувствительна... Что происходит??? Спасибо
Добрый день. Ежу на Тойоте Авенсис 2004 2.0 D4D, недавно при ремонте форсунок мне диагностировали слабую компресию. Так как я в Польше здесь цены по ремонту ошеломляющие. Вопрос: Стоит ли сделать раскоксовку двигателю или нет?
Здесь говорят что это ничего не даст, нужно менять втулки клапанов, шлифовать цилиндры, а это стоит как пол авто. Если стоить раскоксовать то какие препараты лучше взять?
Добрый день. Раскоксовка не поможет.
А что поможет?
помогите, кто может! Что за стук?
Здравствуйте. Из похолоданием на добло 1.6 мультиджет 100л.с долго гаснет лампа давления масла при утренних пусках. Масло шел 0в30, уверен что не подделка. На прогретом двигателе такой проблемы нет. Не подскажите в чем причина и есть ли повод для беспокойства? Заранее благодарен.
Здравствуйте добрые люди подскажите пожалуйста, дымит на холодную при прогреве сине-сизым дымом, немного прогревшись перестает дымить. Присудствует расход масла около 100 гр. На 300 км. (Примерно может чуть больше) заранее спасибо. Пробег 280 000 км.
Здравствуйте, Алексей, ознакомьтесь со статьей (+ видео и фото во вкладках)
1. https://kovsh.com/library/diesel_fuel_system/diesel_engine_troubles/silnoe_dymlen/sinii_dim/t/tabs4117/informatciia
2. https://kovsh.com/library/ice/engines_troubles/big_oil_consumption
Fw: Здравствуйте. Помогите пожалуйста. Проблема такая. В патрубках кулера, на дроссельной засломке забросано все в масле в больших количествах. Перед этим менял масло на сто через щюп и плохо отсосали его залиль на 1 л. Больше уровня. Может быть из-за этого? Тяга и все остальное в норме. Спринтер 316,2014 года 651 мотор.
Добрый день, решили ли проблему, для меня тоже актуально, поделитесь опытом.
Здравствуйте. Для нас проблем в регулировке клапанов нет, клапана регулируются не часто, раз в 100000 а может и дольше. мы шлифуем увеличенные стаканчики, изнутри, под необходимый размер. всегда есть в наличии стаканчики самого максимального размера с которого можно изготовить любой регулировочный размер. не являемся сторонниками установки стаканчиков с шайбами, так как это увеличивает массу стаканчика с шайбой, от чего производитель и ушёл.

Двигатель дымит из маслозаливной крышки.
В случае загрязнения воздушного фильтра создаётся разряжение во впускном патрубке и соответственно в картерном пространстве, поэтому при увеличении обротов все эти газы затягиваются двигателем. Если воздушный фильтр чистый, и двигатель масло не берёт, не обращайте внимание. более подробную информацию можно получить проверив приборами давление, производительность картерных газов и производительность вентиляции картерных газов.
Fw: Здравствуйте. Помогите пожалуйста. Проблема такая. В патрубках кулера, на дроссельной засломке забросано все в масле в больших количествах. Перед этим менял масло на сто через щюп и плохо отсосали его залиль на 1 л. Больше уровня. Может быть из-за этого? Тяга и все остальное в норме. Спринтер 316,2014 года 651 мотор.
Замените уплотнительную резинку на крышке маслянного фильтра
Попробуйте снять и почистить рециркуляцию. Если не поможет, узнайте стоимость. так как сама перепрошивка стоит около 200 уе. иногда стоимость самой рециркуляции аналогична.
Неисправны форсунки.
Ваш ответ всего лишь был перенесен в более подходящий раздел. Я передам Ваш вопрос диагносту. Он ответит, когда у него появится время
Машина на газу, 4 поколение, при переключении с газа на бензин, при нагретом двигателе, наступает неровная работа холостых двигателя и загорается...
Читать далееСтучит поршень. И похоже в одном цилиндре слабая компрессия.
Здравствуйте, FIAT DOBLO 2008г 1.9 105 лс .На 100 км 1 лтр масла ,если по месту итого больше дым серо голубого цвета едкий, турбина после ремонта.
забыл дописать,из сапуна дыма практичиски нет,интеркулер чист.СПАСИБО
Маслосьёмные кольца, остальные неисправности перечислены здесь.
Дымок это не показатель, нужно проверять давление картерных газов и производительность. на мерседесах тоже откручивают крышку и брызги разлетаются, так как цепь крутится.. Лично мы рады клиентам с Крыма, стараемся обслужить их побыстрее, на счёт таможни все говорят по разному, одни что быстро прошли, другие наоборот..
Каждые 60-70 тыс км
до 300мл.
Нету у него датчика давления масла, только уровня. Лично мы устанавливаем свой датчик http://www.kovsh.ua/shop/engine_control_indicator/oil_pressure/24359
- 1
- 2
- среднее эффективное давление, МПа;
- рабочий объем цилиндра, дм³; i - количество цилиндров двигателя; n - частота вращения КВ, 1/мин;
- тактность двигателя (для 2-х тактных
=2, для 4-х тактных
=4)
=
*
*S / 4, очевидно, что увеличение диаметра цилиндра D оказывает на повышение мощности большее влияние, чем такое же увеличение хода поршня S.
, где
- рабочий объем цилиндра;
- объем камеры сгорания. т.е. геометрическая степень сжатия представляет собой отношение полного объема над поршнем (при положении поршня в НМТ) к объему над поршнем при положении его в ВМТ.
, где
) определяется следующим выражением:
низшая теплота сгорания топлива,
- количества воздуха, теоретически необходимое для полного сгорания данного топлива,
, i - тактность двигателя (4 или 2) и число цилиндров,
- рабочий объем цилиндра,
- коэффицент избытка воздуха,
,
,
- соответственно, коэффицент наполнения, индикаторный и механический к.п.д.,
- плотность наддувочного воздуха, n - частота вращения коленчатого вала, К - константа.
, т.е. его размеры, или увеличивая частоту вращения коленчатого вала n, или создавая вместо четырехтактного двигателя двухтактный, т.е. меняя
, или применяя эти методы совместно. Однако очевидно, что в этом случае меняется конструкция двигателя, меняются масса и габариты двигателя.

однозначно зависит от давления
(через КПД компрессора или благодаря применению охладителю наддувочного воздуха), то при постоянном противодавлении на выпуске двигателя имеется только одна линия расхода. Если у двигателя, не имеющего охладителя наддувочного воздуха, температура
, соответствующая определенному давлению наддува, понижается (например, из-за повышения КПД компрессора, т.е. уменьшения показателя политропы n), то объемный V и массовый
расход воздуха через двигатель увеличатся. Однако влияние КПД компрессора на объемный расход воздуха невелико:


Уважаемый посетитель! Мы физически не можем отвечать на каждый комментарий..
Для того, чтобы Вы могли самостоятельно (или с помощью ближайшего автосервиса) устранить неисправности дизеля, мы разработали ОнлайнДиагностику. Это интерактивное руководство, которое содержит все известные причины неисправностей дизельных двигателей и указывает пути достижения правильной работы конкретного двигателя.
Приглашаем вас воспользоваться ОнлайнДиагностикой прямо сейчас!
Для тех кто желает получить личную консультацию Владимира Николаевича
Оставить комментарий: